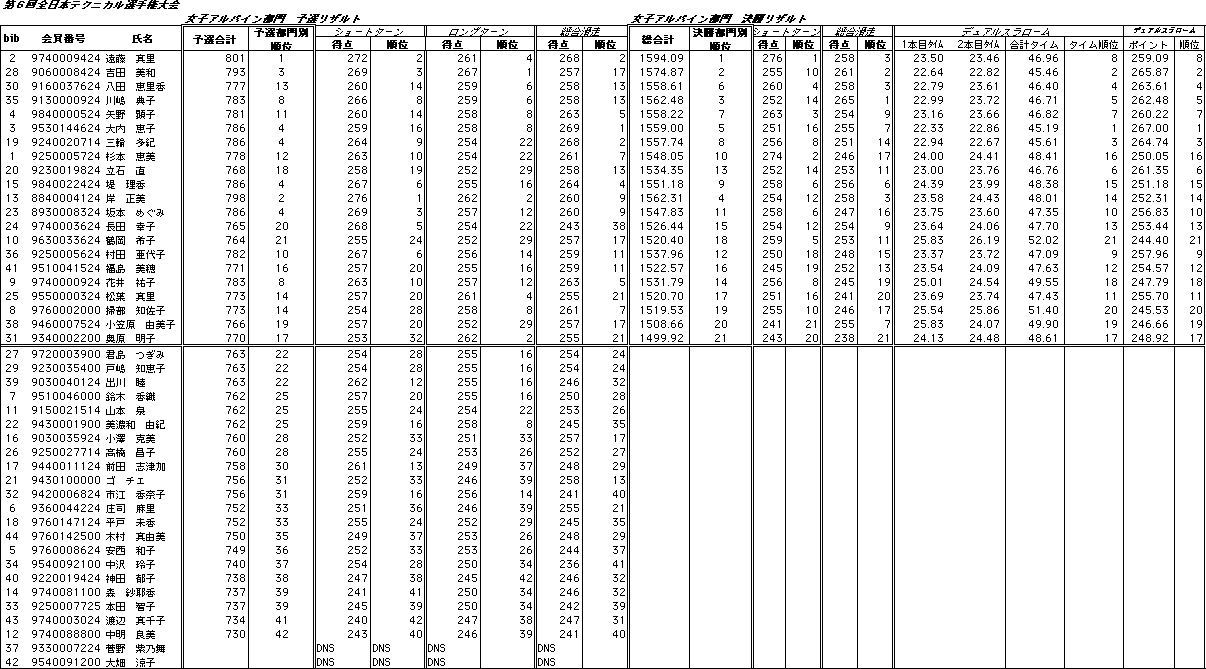
第6回全日本テクニカル選手権大会
1999年3月6-7日
 
 
 
[アルパイン]
公式結果 - 女子

 

 
 
 


一覧ページへ戻る